摘要:近期市况:汇市方面,美元指数震荡上涨,报97.49;债券市场方面,10年期和2年期国债收益率曲线分别收于4.28%和3.56%。非美货币方面,欧元兑美元小幅下挫,报1.1805【欧元区1月服务业PMI与通胀率皆有所缓和】;英镑兑美元震荡下挫,收于1.3648【英国1月服务业PMI录得54.0,略低于初值和市场预期的54.3】;美元兑日元震荡上行,至156.83;澳元兑美元回调下跌,报0.6996;
近期市况:
汇市方面,美元指数震荡上涨,报97.49;债券市场方面,10年期和2年期国债收益率曲线分别收于4.28%和3.56%。
非美货币方面,欧元兑美元小幅下挫,报1.1805【欧元区1月服务业PMI与通胀率皆有所缓和】;英镑兑美元震荡下挫,收于1.3648【英国1月服务业PMI录得54.0,略低于初值和市场预期的54.3】;美元兑日元震荡上行,至156.83;澳元兑美元回调下跌,报0.6996;纽元兑美元承压下挫,现测试0.60关键水平;美元兑加元震荡走强,报1.3663;美元兑瑞郎恢复上行,至0.7768。
在贵金属市场,现货黄金持稳于4964美元/盎司;白银持续反弹,收于88.09美元/盎司。
油市方面,美原油延续上行,至64.33美元/桶。
近期关键事件:
ADP掀起美国劳动力市场遮羞布?
美国“小非农”——ADP就业人数于2026年首月表现逊色,仅小幅增加2.2万人,不及前值3.7万人(修正前为4.1万人)和市场预期4.8万人。
报告显示,拖累就业市场整体表现主要来自于制造业。该行业自2024年3月以来每月均在裁员,最新数据显示减少了8000人。
表现第二差劲的行业为专业/商业服务。该行业从12月的减少2.9万人扩大至减少5.7万人。
另外,教育和医疗服务行业则激增7.4万人;其它行业如金融服务业增加了1.4万人、建筑业新增9000人以及贸易/运输/公用事业新增了4000人——这些数据避免了1月私营部门就业增长陷入负值区间。
2025年全年,私营企业仅新增了39.8万个岗位,远低于2024年的77.1万个岗位
事实上,美国就业人数在过去三年里正持续大幅下降,而1月份薪资增长亦与上个月基本持平——这或反映了美国劳动力市场正持续降温。
另一边厢,受早前联邦政府停摆的影响,原定于本周五发布的非农报告将无法如期公布。下一次公布的日期尚待确认,但市场基本认为不会晚于下次美联储FOMC利率决议。
主要品种走势分析:
美元指数

(美元指数日线图 来源:HFM)
日线图显示美元指数震荡上涨,当前企稳于96.70支撑。从MACD来看,快慢线形成金叉,红色动能柱收缩殆尽。指数走势基本和动能柱的变化一致。
欧元兑美元

(欧元兑美元日线图 来源:HFM)
日线图显示欧元兑美元震荡下跌,当前承压于1.1950阻力。从MACD来看,快慢线形成死叉,红色动能柱温和放量。汇价走势基本和动能柱的变化一致。
英镑兑美元

(英镑兑美元日线图 来源:HFM)
日线图显示英镑兑美元震荡下挫,当前收于1.3610支撑。从MACD来看,快慢线形成死叉,白色动能柱收缩殆尽。汇价走势基本和动能柱的变化一致。
美元兑日元

(美元兑日元日线图 来源:HFM)
日线图显示美元兑日元强势冲高,当前收于154.80支撑。从MACD来看,快慢线形成金叉,红色动能柱收缩殆尽。汇价走势基本和动能柱的变化一致。
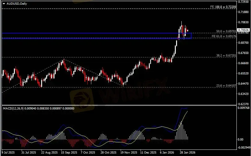
澳元兑美元

(澳元兑美元日线图 来源:HFM)
日线图显示澳元兑美元回调下跌,当前仍收于0.6920-0.6970支撑区域。从MACD来看,快慢线呈拐向,白色动能柱温和收缩。汇价走势基本和动能柱的变化一致。
纽元兑美元

(纽元兑美元日线图 来源:HFM)
日线图显示纽元兑美元回调下挫,当前承压于0.6060阻力。从MACD来看,快慢线呈拐向,白色动能柱温和收缩。汇价走势基本和动能柱的变化一致。
美元兑加元

(美元兑加元日线图 来源:HFM)
日线图显示美元兑加元震荡上涨,当前仍承压于1.3750阻力。从MACD来看,快慢线逐渐收窄,红色动能柱温和收缩。汇价走势基本和动能柱的变化一致。
美元兑瑞郎

(美元兑瑞郎日线图 来源:HFM)
日线图显示美元兑瑞郎恢复上行,当前测试0.7770阻力。从MACD来看,快慢线欲形成金叉,红色动能柱收缩殆尽。汇价走势基本和动能柱的变化一致。
黄金

(黄金日线图 来源:HFM)
日线图显示金价反弹上行,当前收于前高4940。从MACD来看,快慢线死叉依旧,红色动能柱温和放量。金价走势和动能柱的变化呈分歧。
白银

(白银日线图 来源:HFM)
日线图显示银价反弹上行,当前企稳于75.20支撑。从MACD来看,快慢线向下扩张,红色动能柱温和放量。银价走势和动能柱的变化呈分歧。
美原油

(美原油日线图 来源:HFM)
日线图显示油价反弹上行,当前测试65关键阻力。从MACD来看,快慢线呈拐向,白色动能柱温和收缩。油价走势和动能柱的变化呈分歧。
日内重点事件:
1. 英国央行公布利率决议、会议纪要和货币政策报告;贝利行长发表讲话。
北京时间20:00,英国央行将公布至2月5日利率决定、会议纪要和货币政策报告。决议后半小时,贝利行长将召开新闻发布会。英国央行在最新的决议中宣布降息25个基点,至3.75%,为2022年12月以来新低。无论如何,随着部分委员警告称英国通胀将随着美国利率下降而回升,市场基本下调了对英央行今年降息的押注。
2. 欧洲央行公布利率决议;拉加德行长发表讲话。
北京时间21:15,欧洲央行将公布至2月5日利率决定,而拉加德行长也将于决议后半小时召开货币政策新闻发布会。目前,其存款机制利率、主要再融资利率和边际贷款利率分别录得2.0%、2.15%及2.4%。这是该央行连续第四次按兵不动,这主要基于委员会认为当前利率处于适当的水平,可确保中期内的价格稳定且经济保持温和扩张。多数经济学家和投资者预计,欧洲央行在2026全年不会有任何利率调整。
3. 麦克勒姆行长发表讲话。
周五北京时间01:40,加拿大央行行长麦克勒姆将发表讲话。上周,加拿大央行在决议中宣布按兵不动,将基准利率维持在2.25%的水平。对此,麦克勒姆警告称,鉴于美国贸易政策不确定(此前特朗普总统反复威胁对加拿大征收更多关税)以及地缘政治风险上升,加拿大经济存在异常的新冲击风险。
日内经济数据(GMT +8):
15:45 - 法国12月工业和制造业产出
18:00 - 欧元区12月零售销售
20:00 - 英国至2月5日央行利率决定
20:30 - 美国1月挑战者企业裁员人数
21:15 - 欧元区至2月5日欧洲央行存款机制利率、主要再融资利率及边际贷款利率
21:30 - 美国至1月31日当周初请失业金人数
Larince Zhang
市场分析师
风险免责声明:本网站的内容仅作为一般性的营销交流用途,仅供参考并不构成独立的投资研究。本网站的任何内容均不包含或不应被视为用于买卖任何金融工具的投资建议。本网站提供的信息均来自信誉良好的金融资源,内容中任何包含过去表现指标的信息均不能或可靠地指示未来的表现。所有用户应了解任何有关杠杆产品的投资都具有一定程度的不确定性。这种性质的投资都涉及高风险而所有用户应对此承担全部责任。我们不承担用户对于本网站提供的信息进行的任何投资所造成的任何损失。未经我们事先的书面许可,本网站的任何内容都不得私自转载或复制。